
微元合成于2022年开始运营,致力于合成生物学的技术创新和产业化。公司以绿色的生产方式,为医药、日化、农业、食品、饲料和材料等领域的客户提供生物基原料及解决方案。现阶段主要产品包括糖醇与稀少糖、天然色素、活性分子等。
2024-08-29
投融资

近日,高性能数模信号处理时钟芯片厂商华时嘉库宣布完成3000万元天使轮融资,本轮融资由产业资本华勤技术、硬科技天使投资基金创徒丛林投资。
2023-03-23
投融资

近日,蜂窝物联智能终端系统 SoC 芯片提供商芯翼信息科技(上海)有限公司(以下简称“芯翼信息”)完成3亿元人民币 C 轮融资,由中国互联网投资基金领投,上海浦东智能制造产业基金、钧山资本、海通创新、汉仟投资等机构跟投。本轮融资资金将用于研发、生产运营以及市场渠道建设。
2023-03-23
投融资

自然语言技术全球顶尖AI服务商竹间智能宣布,继日前完成D轮融资后,已于去年底逆势完成D2轮融资,由金浦投资、金库资本、江苏文投、隽赐资本等联合投资。
2023-03-08
投融资

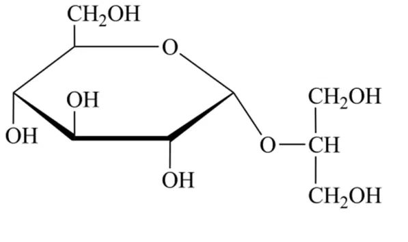
甘油葡糖苷(GG)作为一种渗透剂和保护剂,在自然界存在于少数细菌(如蓝藻)和生长在恶劣环境中的植物中,其作用是保护微生物和植物免受盐分和干燥胁迫,因此,GG也是一种重要的抗衰老剂。
2023-03-08
投融资

据悉,「纳诺特」首条1800mm卷绕式磁控溅射NFTCM®产线已于2022年3月建成并顺利完成试生产,量产的NFTCM®柔性透明导电膜光电特性、均匀性和耐候性达到了下游客户要求,已经实现了在86寸大屏触控、智能调光器件、透明加热器件和透明电磁屏蔽中的应用验证。
2022-06-14
投融资

近日,由端到端人工智能驱动的临床阶段生物医药公司英矽智能(Insilico Medicine)宣布完成6000万美元D轮融资,本轮融资新加入的投资方包括美国西海岸一家大型多元化资产管理公司和渤海华美(上海)股权投资基金管理有限公司等,现有投资方包括华平投资、波士顿投资、启明创投、BOLD Capital Partners、Deerfield Management和蘭亭投资等继续跟投。英矽智能创始人兼首席执行官Alex Zhavoronkov博士也亲自参投。
2022-06-13
投融资

近日,深圳锐思华创技术有限公司(以下简称锐思华创)完成亿元A+轮融资,成为资本领投、中国联通下属联通创新基金跟投。据悉,本轮融资资金将用于产品研发、量产及产线建设等业务方面。
2022-06-13
投融资